Now that we have a best fit equation (that still scares me at how well it fit the data) we can find our minimum sink rate and the air speed at which that occurs. We’ll also find our speed to fly but not in this installment – I haven’t figured out the R commands yet.
Before we dive into the real data I’m going to set up a very simple test case demonstrating the R commands. Since the data is plotted “upside down” what we want to find is the maximum value from our model statement. To demonstrate this I’ll define two five element vectors a and s which contain matching airspeed/sink rate values. I’ll plot them so we can see what we’re working with then find the maximum sink value and its corresponding airspeed. Here’s the R log:
The first two lines define the matching airspeed/sink rate values and the next two plot the data. The which statement is “pronounced” which element of s matches the maximum value found in s? The value returned is 3 (the third element) and the third element of a is 80 which you can see from the following graph would be the minimum sink speed.
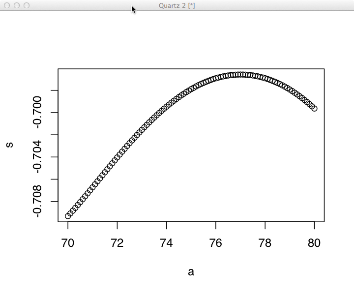
Now, I’ll do the same process with a generated subset of our polar data. What do I mean by that? I’ll first generate airspeeds using the R “sequence” function, generate matching sink rates using these airspeeds and our model statement, then use the above technique to find the minimum sink and matching airspeed. Here’s the log:
So, the 71st element of s contains the maximum value which we can see from the last few lines is -0.69658 which occurs at 77 Km/hr. How does this stack up to the factory specs? The publish minimum sink rate is -0.65 m/sec which is .04658 m/sec (.09 kts/sec or 9.2 ft/min) more than factory. The specs don’t say at what speed this occurs but 77 Km/hr is 41.6 kts. I think all the numbers make sense and are well within the error ranges of our instruments.
In case you’re wondering what the plot looks like here it is. Because of the very small range of data the curvature is greatly exaggerated. It’s easy to see that the maximum does indeed occur at 77 Km/hr.
Well, we have our minimum sink rate now we need to find our best speed to fly. Stay tuned, film at 11:00.
Next: Finding the Speed to Fly



