In our last exciting episode we posited that:
was an equation that modeled the polar curves typical of sailplanes. We now need to do a couple of things:
- recast this function in terms of x and y vectors and
- take the first derivative of the vector function
The derivative of a simple function when evaluated for some x gives the value of the slope at x. The first derivative of a vector is a vector that is tangent to the slope of the curve as seen In figure 3.
To parameterize f(x) we need to get it into x and y component vectors. The x vector is easy, it’s our airspeed and the y vector is just the function itself. Therefore,
Yea, I know, what’s this t variable all of a sudden. It’s the parameterization variable that substitutes in for x so we don’t have confusing looking things like x(x). In this case t is the airspeed just like x was in our original function. Notice I snuck the calculus in on the last line. If you’re not familiar with first derivatives try this link.
By now the sailplane pilot’s minds have run ahead and realized that if v(t) in figure 3 moves to the apex of the curve that v'(t) will be horizontal giving a slope of zero and defining the minimum sink speed.
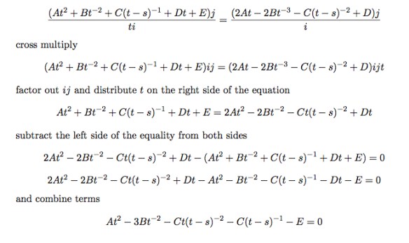
Also if v(t) continues to trace to the right at some point the slopes of v(t) and v'(t) will be equal. The slope of a line is change in y divided by the change in x so the equality looks like:
The last equation, when solved, will give us our best speed to fly. But, just to make sure we’re playing with a full deck of cards, in the next posting we’ll derive the above equation a second way using a different set of assumptions. Soon after that we’ll get some real data and find out what A through E are.
Next: The Alternative



